步进电机特性以及如何选型?
发布时间:2019-04-19 17:14:33 来源: 作者: 浏览:4956次

随着控制电机重要性的增加,控制电机的使用量也逐年增加。步进电机是一种控制电机,不使用反馈回路,就能进行速度控制及定位控制,即所谓的电机开环控制。
其应用主要以处理办公业务能力很强的OA机器和 FA机器为核心,并广泛应用于医疗器械、计量仪器、汽车、游戏机等。就数量来讲,0A机器方面的应用约占步进电机使用总数的75%。
-ebd0ba71-b36f-4f55-8d5b-f313ea5d126f.jpg)
-cf459478-bf77-42a4-994f-1e309e5903a2.jpg)
一、步进电机原理
步进电机是利用电磁铁原理,将脉冲信号转换成线位移或角位移的电机。每来一个电脉冲,电机转动一个角度,带动机械移动一小段距离。
二、分类
电机有各种分类方式,如用电压种类分类时,有AC驱动与DC驱 动;用旋转速度与电源频率关系分类时,则有同步电机和异步电机。
如下图是步进电机在小型电机系列中的位置关系。
-dfa1920f-0eb3-46e7-bf34-65a9a14625bd.jpg)
由上图可知,步进电机属于DC驱动的同步电机,但无法直接用DC或AC电源来驱动,需要配备驱动器才能使用。所以步进电机的运行需要驱动电路。此点与无刷DC电机相同,无刷DC电机要使用驱动电路,驱动电路将电机定子与DC电源连接在一起工作。
三、步进电机特性
步进电机的基本特性包括电机静态特性、连续运动特性(动态特性)、电机启动特性和电机制动特性(暂态特性)。下面分别作介绍:
1、静态转矩特性
步进电机的线圈通直流电时,带负载转子的电磁转矩(与负载转矩平衡而产生的恢复电磁转矩称为静态转矩或静止转矩)与转子功率角的关系称为角度-静止转矩特性,这就是电机的静态特性。如下图所示:
-2e9f910d-10d7-4f49-a91f-3e3c3d4b5b93.jpg)
因为转子为永磁体,产生的气隙磁密为正弦分布,所以理论上静止转矩曲线为正弦波。此角度-静止转矩特性为步进电机产生电磁转矩能力的重要指标,最大转矩越大越好,转矩波形越接近正弦越好。实际上磁极下存在齿槽转矩,使合成转矩发生畸变,如两相电机的齿槽转矩为静止转矩角度周期的4倍谐波,加在正弦的静止转矩上,则上图所示的转矩为:
TL=TMsin[(θL/θM)π/2]
其中TL与TM各表示负载转矩和最大静止转矩(或称把持转矩),相对应的功率角为θL和θM,此位移角的变化决定了步进电机位置精度。根据上式得到:
θL=(2θM/π)arcsin(TL/TM)
PM型永磁步进电机和HB混合式步进电机的步距角θs在前面的课程中讲过即:θs=180°/PNr,角度改为机械角度(弧度),则变成下式:
θs=π/(2Nr)
上式Nr为转子齿数或极对数,所以两相电机θM=θs。
2、动态转矩特性
动态转矩特性包括驱动脉冲频率-转矩特性和驱动脉冲频率-惯量特性。
1)脉冲频率-转矩特性
脉冲频率-转矩特性是选用步进电机的重要特性。如下图所示,纵轴为动态转矩(dynamic torque),横轴取响应脉冲频率,响应脉冲频率用pps作为单位,即每秒的脉冲数表示。
-6907f964-e42a-4d2b-be01-a3b25f84feb6.jpg)
如图所示,步进电机的动态转矩产生包括失步转矩(pull-out-torque)和牵入转矩(pull-in-torque)两个转矩。前者称为失步或丢失转矩,后者称为起动或牵入转矩。牵入转矩范围为从零到最大自起动脉冲频率或最大自起动频率区域。牵入曲线包围的区域称为自起动区域。电机同步进行正反转起动运行,在牵入与失步区域之间为运转区,电机在此区域内可带相应负载同步连续运行,超出范围的负载转矩将不能连续运行,出现失步现象。步进电机为开环驱动控制,其负载转矩与电磁转矩之间要有裕度,其值应为50%~80%。
2)脉冲频率-惯量特性
步进电机在带惯性负载快速起动时,须有足够的起动加速度。因此如负载的惯量增加,则起动脉冲频率就下降,为此,在选择步进电机时对两者要进行综合考虑。
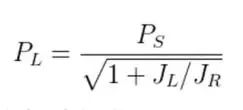
下图纵轴为最大自起动频率,横轴为负载惯量,曲线表示负载惯量与最大自起动脉冲频率之间的关系。此处以PM型爪极步进电机(两相,步距角7.5°)为例。负载PL下,最大自起动脉冲频率PL与负载惯量Jc的关系如下:
-7b5a867a-3eff-44fe-97a6-f02e4ab2693f.jpg)
-4695fd4e-a296-4f86-baec-19bcfabe8075.jpg)
式中,JR步进电机转子惯量,Ps为空载的最大自起动频率。
3、暂态转矩特性
由于步进电机转子惯量作用,即使空载运行一步,也会产生超越角(over-shoot),并在超越角与返回角(under-shoot)之间来回振荡,经过哀减后静止于所定角度,此为步进电机暂态响应特性。
下图表示步进电机的暂态特性,纵轴取转子移动角度,横轴为时间。△T为上升时间,△θ表示超越角,转子自由静止到设定位置的时间(通常到达步距角的士5%误差范围的时间)称为稳定时间(setting time)
-e2b2d132-822c-4579-a731-8e353ae6d384.jpg)
稳定时间越短,快速性越好,为了加快机构的运行速度,使稳定时间变短,步进电机的阻尼(制动)变得很重要。使稳定时间变短的方法有改变摩擦或改变惯量驱动等,在后面会详细介绍。